library1008.tistory.com/58

 

이클립스 자동줄맞춤

프로그램을 코딩하다보면 줄바꿈, 들여쓰기, 중괄호의 위치 등의 형태가 일관성이 없을 때가 있습니다. 하나씩 일일이 확인하기에는 머리가 아프고, 한다고 해도 한 두개씩은 꼭 놓치게 되죠. ��

library1008.tistory.com

 

ctrl + shift + f

'STUDY > IT' 카테고리의 다른 글

[IT] 기술 블로그 모음  (0) 2020.08.12
[IT] clean code for java and javascript  (0) 2020.08.11
[IT] 정규표현식 학습 사이트  (0) 2020.08.06
[IT] CSS 선택자 게임  (0) 2020.02.07
[IT] 좋은 글인듯.. 읽어보자  (0) 2020.01.31

국내

CompanyURL

44BITS https://www.44bits.io/ko
농심데이타시스템 https://tech.cloud.nongshim.co.kr/techblog/
당근마켓 https://medium.com/daangn
데일리호텔 https://dailyhotel.io/
리디 https://www.ridicorp.com/blog/
레진 https://tech.lezhin.com/
렌딧 https://lenditkr.github.io
드라마앤컴퍼니 https://blog.dramancompany.com/
마켓컬리 https://helloworld.kurly.com
뱅크샐러드 https://blog.banksalad.com/
스타일쉐어 https://medium.com/styleshare
스포카 https://spoqa.github.io/
쏘카 https://tech.socarcorp.kr/
야놀자 https://yanolja.github.io/
이스트소프트 https://blog.est.ai/
우아한형제들 https://woowabros.github.io/
크로키닷컴 https://devblog.croquis.com/ko/
카카오 https://tech.kakao.com/blog/
쿠팡 https://medium.com/coupang-tech
플라네타리움 https://snack.planetarium.dev/kor/
하이퍼커넥트 https://hyperconnect.github.io/
LINE https://engineering.linecorp.com/ko/blog/
Naver D2 https://d2.naver.com/helloworld
NHN https://meetup.toast.com/
VCNC http://engineering.vcnc.co.kr/
요기요 https://medium.com/deliverytechkorea

해외

CompanyURL

Airbnb https://medium.com/airbnb-engineering
Amazon https://developer.amazon.com/blogs
Dropbox https://blogs.dropbox.com/tech/
Ebay https://tech.ebayinc.com/
Facebook https://developers.facebook.com/blog/
Google https://developers.googleblog.com/
Google Play https://medium.com/googleplaydev
Grab https://engineering.grab.com/
Instagram https://instagram-engineering.com/
Linkedin https://engineering.linkedin.com/blog
Microsoft https://devblogs.microsoft.com/
Netflix https://medium.com/netflix-techblog
Paypal https://medium.com/paypal-engineering
Riot Games https://technology.riotgames.com/
Trivago https://tech.trivago.com/
Twitter https://blog.twitter.com/engineering

 

그 중, 아래 사이트가 최고인듯..

 

https://dzone.com/

 

DZone

Programming, Web Development, and DevOps news, tutorials and tools for beginners to experts. Hundreds of free publications, over 1M members, totally free.

dzone.com

 

'STUDY > IT' 카테고리의 다른 글

[IT] 이클립스 문장 자동정리  (0) 2020.09.08
[IT] clean code for java and javascript  (0) 2020.08.11
[IT] 정규표현식 학습 사이트  (0) 2020.08.06
[IT] CSS 선택자 게임  (0) 2020.02.07
[IT] 좋은 글인듯.. 읽어보자  (0) 2020.01.31

https://github.com/leonardolemie/clean-code-java#introduction

 

leonardolemie/clean-code-java

Clean Code concepts adapted for Java. Based on @ryanmcdermott repository. - leonardolemie/clean-code-java

github.com

https://github.com/ryanmcdermott/clean-code-javascript

 

ryanmcdermott/clean-code-javascript

:bathtub: Clean Code concepts adapted for JavaScript - ryanmcdermott/clean-code-javascript

github.com

https://github.com/qkraudghgh/clean-code-javascript-ko

 

qkraudghgh/clean-code-javascript-ko

:bathtub: Clean Code concepts adapted for JavaScript - 한글 번역판 :kr: - qkraudghgh/clean-code-javascript-ko

github.com

 

'STUDY > IT' 카테고리의 다른 글

[IT] 이클립스 문장 자동정리  (0) 2020.09.08
[IT] 기술 블로그 모음  (0) 2020.08.12
[IT] 정규표현식 학습 사이트  (0) 2020.08.06
[IT] CSS 선택자 게임  (0) 2020.02.07
[IT] 좋은 글인듯.. 읽어보자  (0) 2020.01.31

https://medium.com/@chrisjune_13837/%EC%A0%95%EA%B7%9C%EC%8B%9D-%ED%8A%9C%ED%86%A0%EB%A6%AC%EC%96%BC-%EC%98%88%EC%A0%9C%EB%A5%BC-%ED%86%B5%ED%95%9C-cheatsheet-%EB%B2%88%EC%97%AD-61c3099cdca8

 

[정규식] 핵심만 모아놓은 Cheat Sheet

예제를 통하여 정규식의 핵심적인 내용만 깊이있게 알아봅니다

medium.com

 

http://www.nextree.co.kr/p4327/

 

정규표현식(Regular Expression)을 소개합니다.

날이 갈수록 개인정보 보호에 관련하여 보안정책을 점진적으로 강화하고 있습니다. 이에 따라 Web에서 회원가입 시 Password 설정을 복잡해진 보안정책에 맞추다 보니 복잡하게 조합해야만 정상적

www.nextree.co.kr

 

'STUDY > IT' 카테고리의 다른 글

[IT] 기술 블로그 모음  (0) 2020.08.12
[IT] clean code for java and javascript  (0) 2020.08.11
[IT] CSS 선택자 게임  (0) 2020.02.07
[IT] 좋은 글인듯.. 읽어보자  (0) 2020.01.31
[IT] 변수명 지어주는 사이트(개발)  (1) 2020.01.28

http://flukeout.github.io/

불러오는 중입니다...

 

https://blog.kingbbode.com/posts/who-am-i-3

'STUDY > IT' 카테고리의 다른 글

[IT] 정규표현식 학습 사이트  (0) 2020.08.06
[IT] CSS 선택자 게임  (0) 2020.02.07
[IT] 변수명 지어주는 사이트(개발)  (1) 2020.01.28
[IT] Clean Code - (1)의미 있는 이름  (0) 2019.09.12
[IT] Clean Code 리뷰 시작  (0) 2019.09.07

아마 많은 개발자 분들이 변수명 또는 테이블명을 작성하면서 많은 시간을 허비했을 겁니다..

 

저 또한 많은 시간을 변수명 또는 함수명을 작성하는데 허비했지요.. ~

 

이번에 찾아보니 변수명을 자동으로 만들어 주는 사이트가 있더라구요 ㅎㅎ 

 

유용할 것 같아서 공유합니다.

 

https://www.curioustore.com/#!/

 

Curioustore

변수명 짓기, 컬럼명 짓기, 영어약자, 変数名 つけ方, カラム名建てる, 英語の略語, 命名变量, 命名该列, 英文缩写

www.curioustore.com

 

'STUDY > IT' 카테고리의 다른 글

[IT] CSS 선택자 게임  (0) 2020.02.07
[IT] 좋은 글인듯.. 읽어보자  (0) 2020.01.31
[IT] Clean Code - (1)의미 있는 이름  (0) 2019.09.12
[IT] Clean Code 리뷰 시작  (0) 2019.09.07
[IT] 이클립스 javascript 자동완성  (0) 2019.04.04

글을 작성하기 전, 왜 우리는 Clean Code를 학습해야하며, 어떠한 마음 가짐으로 임해야하는지 알아보겠습니다.

 

<나쁜 코드로 치르는 대가>

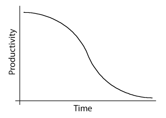
프로젝트 초반 나쁜코드를 작성하며 번개처럼 속도를 낸다면, 시간이 지남에 따라 개발속도는 늦어집니다.

분명, 초반 개발속도는 매우 빠르고 힘차게 나갈지라도, 1-2년 후 결국 굼뱅이처럼 기어갈 수 밖에 없습니다.

프로젝트의 규모가 커지고 코드들이 얽히고 설킨 상황에 개발자가 코드를 '해독'해서 코딩을 한다면 분명 생산성에

문제가 있을 것 입니다.

 

 

<어떠한 마음가짐으로 코드를 작성해야 하는가?>

저자는 미국 보이스카우트가 따르는 간단한 규칙이 개발자들에게도 유용하다고 설명하고 있습니다.

 

           캠핑장은 처음 왔을 때보다 더 깨끗하게 해놓고 떠나라.

 

체크아웃할 때보다 좀 더 깨끗한 코드를 체크인 한다면 코드는 절대 나빠지지 않습니다. 

사소하게 변수명 하나 또는 약간의 중복제거와 같은 간단한 코드정리가 쌓이다 보면 결국 프로젝트의 코드는 클린해질 것 입니다.

 

 

<의미 있는 이름>

 

1. 의도를 분명히 밝혀라

   변수나 함수 그리고 클래스 이름은 다음과 같은 굵직한 질문에 답해야 합니다.

     - 변수(혹은 함수나 클래스)의 존재 이유

     - 수행 기능

     - 사용 방법

   

   따로 주석이 필요하다면 의도를 분명히 드러내지 못했다는 말입니다.

 

※ 변경 전

public List<int[]> getThem() {
	List<int[]> list1 = new ArrayList<int[]>();
    
    for(int[] x : theList)
    	if(x[0] == 4)
            list1.add(x);
	return list1;
}

 

※ 변경 후

public List<int[]> getFlaggedCells() {
	List<int[]> flaggedCells = new ArrayList<int[]>();
    
    for(int[] cell : gameBoard)
    	if(cell[STATUS_VALUE] == FLAGGED)
        	flaggedCells.add(cell);
	return flaggedCells;
}

변경 전 코드에서는 getThem()함수가 어떤 함수이고, list1은 무엇이며, 상수 0과 4는 무엇을 암시하는지 전혀 알 수 없습니다.

하지만, 변경 후 코드에서는 함수, 변수, 상수가 하는 일을 명확히 알 수 있습니다.

 

<의미 있게 구분하라>

 

1. 연속적인 숫자를 덧붙인 이름을 사용하지 마라.

    - a1, a2, ..., aN 과 같은 이름은 아무런 정보도 제공하지 못하는 이름일 뿐입니다.

 

2. 불용어를 추가하지 마라.

    - 불용어를 추가한 이름은 아무런 정보도 제공하지 못합니다.

    - 만약, Product라는 클래스가 있다고 가정하고 다른 클래스를 ProductInfo, ProductData라 부른다면

      개념을 구분하지 않은 채 이름만 달리한 경우입니다.

      즉, 의미가 불분명한 불용어 입니다.

 

<클래스 이름>

 

클래스 이름과 객체 이름은 명사명사구가 적합하다. Customer, WikiPage, Account, AddressParser 등이 좋은 예다.

Manager, Processor, Data, Info 등과 같은 단어는 피하고, 동사는 사용하지 않는다.

 

 

<메서드 이름>

 

메서드 이름은 동사동사구가 적합하다. postPayment, deletePage, save등이 좋은 예입니다. 접근자(Accessor), 변경자(Mutator), 조건자(Predicate)는 javabean표준에 따라 값 앞에 get, set, is를 붙인다.

 

 

<기발한 이름은 피하라>

 

간혹 프로그래머가 나름대로 재치를 발휘해 구어체나 속어를 이름으로 사용하는 사례가 있습니다.

예를 들어, Kill() 대신에 whack()이라 부르거나 Abort() 대신 eatMyShort()라 부릅니다.

특정 문화에서만 사용하는 농담은 피하는 편이 좋습니다. 의도를 분명하고 솔직하게 표현해야합니다.

 

 

<한 개념에 한 단어를 사용하라>

 

1. 추상적인 개념 하나에 단어 하나를 선택해 이를 고수한다.

   - 똑같은 메서드를 클래스마다 fetch, retrieve, get으로 제각각 부르면 혼란스럽습니다. 만약 같은 기능을 하는 메서드

     라면 한 가지를 선택해 고수해야합니다.

 

2. 한 단어를 두 가지 목적으로 하용하지 마라.

   - 때때로, 프로그래머는 같은 맥락의 메서드 또는 클래스가 아닌데도 '일관성'을 고려해 한 가지 단어를 고수합니다.

     예를 들어, 지금까지 구현한 add() 메서드는 모두가 기존 값 두 개를 더하거나 이어서 새로운 값을 만든다고 생각해

     봅시다. 하지만, 새로 작성하는 add() 메서드는 집합에 값 하나를 추가하는 기능입니다.

     이 메서드를 add라 불러도 괜찮을까요?

 

     전혀 다른 기능의 add() 메서드입니다. 이름만 같게 지었을 뿐이지요. 그러므로, 새로 추가한 add() 메서드는 insert   

     나 append라는 이름을 사용하는 것이 적당합니다.

'STUDY > IT' 카테고리의 다른 글

[IT] 좋은 글인듯.. 읽어보자  (0) 2020.01.31
[IT] 변수명 지어주는 사이트(개발)  (1) 2020.01.28
[IT] Clean Code 리뷰 시작  (0) 2019.09.07
[IT] 이클립스 javascript 자동완성  (0) 2019.04.04
[IT]REST API란??  (0) 2019.03.02

최근 Clean Code라는 책을 구매해서 읽고있습니다. 아직 1/3 채 읽지 못했지만, 현재까지 읽은 내용을 바탕으로 중요한 내용들을 정리하고 싶어서 글을 작성합니다.

 

최근 코드를 작성하며 '내가 코드를 잘 작성하고 있는가?'라는 물음에 확실한 결론을 내놓지 못했습니다. 분명, 수 많은 사람들의 코드를 접했지만, 각자의 스타일이 다르고 방식이 달랐습니다.

그렇다면 누구의 코드가 클린한 코드일까요? 저도 잘 모릅니다.. ㅎㅎ 그래서  Clean Code책의 도움을 받아 최소한 지켜줘야 할 클린 코드의 규칙을 익히기로 했습니다.

 

책의 내용은 굉장히 만족스러웠고, 책의 내용을 조금이라도 더 이해하고 알리기 위해 포스팅을 시작하게 됐습니다.

(물론, 이해가 잘 안되는 부분도 있지만 코딩을 하다보면 차근차근 이해가 될 것 같습니다. ㅎㅎ)

 

그럼 이제 포스팅을 시작하겠습니다.

 

<클린 코드(로버트 C. 마틴)>

 

 

※ 모든 내용은 위 책을 바탕으로 작성 할 것입니다.

https://wondongho.tistory.com/50

 

Eclipse에 Javascript 코드 어시스트(javascript code assist) Tern Eclipse IDE 구축

유명한 코드 어시스트인 WebClipse를 설치해도 컨트롤 스페이스가 먹히지 않았다.. 그래서 다른 코드 어시스트를 발견하게되었다. 단점이라고 찾아보자면.. 수동 설정을 해줘야하는것정도? 10초면 충분하다. 이름..

wondongho.tistory.com

 

유명한 코드 어시스트인 WebClipse를 설치해도 컨트롤 스페이스가 먹히지 않았다.. 그래서 다른 코드 어시스트를 발견하게되었다.

 

단점이라고 찾아보자면.. 수동 설정을 해줘야하는것정도? 10초면 충분하다.

 

이름은

 

Tern Eclipse IDE !

 

 

설치방법

 

※ WebClipse를 사용하고 계신분들은 Eclipse Marketplace에 들어간후 탭메뉴의

Installed에 들어가신후 Uninstall 하신 후 설치해주시길 바랍니다.

 

Eclipse Marketplace -> Tern 검색 -> Tern Eclipse IDE 1.2.0 설치 후 이클립스 재부팅.

 

그런다음

 

1. 프로젝트별로 수동 설정해줘야 하므로 (10초도 안걸릴것 같음) 적용 하고 싶은 프로젝트를 

우클릭 후 Configure -> Convert to Tern Project 클릭! 

 

2. 스크롤을 내리다 보면 Cordova JavaScript라고 항목이나옴 체크 후 Ok누르면 설정 끝.

 

js 코드 몇글자 입력후 컨트롤 스페이스를 클릭하게 되면 자동완성이 쭈욱 뜬다!!

왠만한건 다되는것 같음!

+ Recent posts